Positivt! Legger virkelig en demper på mulighetene for å utnytte compounding av GLP i USA.
Dette, sammen med økt konkurranse fra Lly, har virkelig vært ett stort problem for Novo i USA
Dette låter vel bra 
- Oral semaglutide 25 mg demonstrated significantly greater mean weight loss than orforglipron 36 mg in a population-adjusted indirect treatment comparison (ITC) using data from the OASIS 4 and ATTAIN-1 clinical trials1
- Treatment with orforglipron 36 mg was associated with ~14 times higher odds of stopping medication due to GI adverse events versus oral semaglutide 25 mg in the ITC1
- In a separate patient preference study, 84% of survey respondents favored the treatment profile similar to oral semaglutide 25 mg compared to that similar to orforglipron2
– Novo Nordisk will present the ORION study at the upcoming Obesity Medicine Association’s annual conference in San Diego showing that Wegovy® (semaglutide) tablets 25 mg was associated with significantly greater mean weight loss than orforglipron 36 mg in a population-adjusted indirect treatment comparison. It is important to note that the FDA recently approved orforglipron under the brand name Foundayo™ at doses ranging up to 17.2 mg. The approved 17.2 mg tablet is the equivalent to the orforglipron 36 mg capsules used in Phase 3 trials, and which served as the study comparator in ORION. Additionally, in a separate patient preference study, adults with overweight or obesity showed greater preference for an oral semaglutide–like profile than an orforglipron-like profile.1,2 These findings suggest potential differentiation and provide valuable insights to inform clinical decision-making.
God timing 
Interessant timing sånn rent chartmessig og
Har du et oppdatert chart? 
Novo Nordisk’s Wegovy® HD available now nationwide
Wegovy® HD available through 70,000+ US pharmacies, NovoCare® Pharmacy, select telehealth providers, and more
STEP UP trial data showed average weight loss of ~21% with Wegovy® HD at 72 weeks in adults with obesity if all patients stayed on treatment* and ~19% regardless of whether patients stayed on treatment**1
Wegovy® HD further expands the offerings for patients within the Wegovy® label, inclusive of multiple formulations, including Wegovy® pill, and indications not available with other GLP-1 weight loss medicines
PLAINSBORO, N.J., April 7, 2026 /PRNewswire/ – Wegovy® HD (semaglutide) injection 7.2 mg is available now nationwide, delivering the highest weight loss of any Wegovy® injection to date.2 This advancement builds on the many offerings for patients within the Wegovy® label and opens up a new option for American adults living with obesity looking to lose weight and keep it off, along with diet and exercise.2
“We know that patients are looking for additional options for weight loss, and with Wegovy® HD we are answering that call. Whether patients haven’t yet reached their weight loss goals on lower-dose Wegovy® injectables, or they simply have a more significant amount of weight to lose, the 21% weight loss demonstrated in the STEP UP trial, if all patients stayed on treatment, shows what’s possible with this new dose, and that’s an opportunity we’re excited to provide,” said Ed Cinca, senior vice president, Marketing & Patient Solutions at Novo Nordisk. “Additionally, Wegovy® is the only weight loss medicine for adults with obesity proven to reduce the risk of events such as stroke, heart attack, or cardiovascular death in those who also have known heart disease. Each dose of Wegovy®, including Wegovy® HD, will be available nationwide through the channels where patients can access Wegovy®, including US pharmacies, select telehealth providers, and more.”
Prior to this approval, the highest approved dose of Wegovy® injectable for weight loss was 2.4 mg, which is also indicated, along with a reduced calorie diet and increased physical activity, to reduce the risk of major cardiovascular events such as death, heart attack, or stroke in adults with known heart disease and with either obesity or overweight.2
Kilde?
Interessant artikkel som tar for seg patent utløp for semaglutid
EDIT:
Og i dag kom det tall fra India på hvordan det har gått etter lansering av generika (obs ble først lansert 20.mars)
GLP-1
Større hit for Novo her, blir spennende å se tall for April hvor NOVO justerte ned prisen+ generika har vært tilgjengelig hele mnd
Novo Nordisk A/S: Wegovy® injection becomes first GLP-1 weight-loss treatment approved for 48-hour controlled-temperature delivery in the EU
2026-04-09 14:28:19
The European Medicines Agency (EMA) has approved an update to the product information of Wegovy® injection, allowing it to be delivered to patients at controlled temperatures of up to 30°C for up to 48 hours
This makes Wegovy® the first GLP-1 for weight management in Europe with this flexibility
The approval could simplify and lower delivery costs for pharmacies and online partners, while also improving supply chain efficiency
Bagsværd, Denmark, 9 April 2026 – The European Medicines Agency (EMA) has approved an update to the product information for Wegovy® injection that allows the medicine to stay at a controlled temperature of up to 30°C for up to 48 hours during delivery, reducing distribution complexity for pharmacies and online partners. This approval makes Wegovy® the only GLP-1 for weight management with this flexibility in Europe.
Previously, the distribution and delivery of Wegovy® were fully subject to cold chain, meaning the medicine had to be kept cold from where it is made to where it is used. With the recent EMA approval, there is now added flexibility for the final stage: delivery of Wegovy® from pharmacies to patients can occur within a 48-hour window at temperatures up to 30°C.
This approval could continue to unlock eHealth options for Wegovy® in Europe, providing new ways to make delivery easier and potentially cheaper for partners. The reduced dependence on cold chain transport is expected to reduce packaging volume and weight.
“Home delivery of medicines is growing rapidly, given the convenience of being able to receive your medicines at your doorstep, which we have come to expect from most other aspects of our lives. People with obesity using prescription medicine may also face stigma, and we are therefore excited about the opportunity to reduce distribution complexity while further enabling discrete home delivery options,” said Mike Doustdar, CEO and president of Novo Nordisk.
The approval reflects evolving industry practices, including the growing use of direct-to-patient distribution models such as delivery via online pharmacies and other non-traditional dispensing channels.
The approved update to the Summary of Product Characteristics (SmPC) for Wegovy® is aimed at healthcare providers, including doctors and pharmacists. There is no change to the patient leaflets for Wegovy®, which states that after first use, patients can keep Wegovy® injectable for up to 28 days at a temperature under 30°C or refrigerated.
It is important to note that this applies to Wegovy® injection, not the Wegovy® pill, which does not need to be refrigerated. The Wegovy® pill is approved in the US and is pending EU regulatory decision later in 2026.
For dere Novo nordisk entusiaster, sjekk ut Nanexa, hvor novo eier 14% 
Novo Nordisk and OpenAI partner to transform how medicines are discovered and delivered
2026-04-14 08:00:00
- Strategic partnership enables upskilling of Novo Nordisk’s workforce and places the company at the forefront of AI transformation in healthcare
- Novo Nordisk will integrate OpenAI’s most advanced AI capabilities globally from drug discovery to commercial operations, empowering talent to move faster, work smarter, and deliver life-changing outcomes for patients
- The partnership has been structured with strict data governance and human oversight to ensure ethical and compliant use
Bagsværd, Denmark, 14 April 2026 – Novo Nordisk today announced a strategic partnership with OpenAI that will place Novo Nordisk at the forefront of AI transformation in healthcare and help the company bring new and better treatment options to patients faster.
The partnership will apply advanced AI capabilities to analyse complex datasets, identify promising drug candidates, and reduce the time required to move from research to patient. It has been structured with strict data protection, governance and human oversight to ensure ethical and compliant use.
“This partnership is one important step in positioning Novo Nordisk to lead in the next era of healthcare. There are millions of people living with obesity and diabetes who need treatment options, and we know there are therapies still waiting to be discovered that could change their lives,” said Mike Doustdar, president and CEO of Novo Nordisk. “Integrating AI in our everyday work gives us the ability to analyse datasets at a scale that was previously impossible, identify patterns we could not see, and test hypotheses faster than ever. This means discovering new therapies and bringing them to market faster than ever before.”
OpenAI will assist Novo Nordisk in upskilling the company’s global workforce and enhancing AI literacy. The partnership will also apply OpenAI’s capabilities to improve efficiency in manufacturing, supply chain and distribution and corporate operations. Pilot programmes will launch across research & development, manufacturing and commercial operations, with full integration by the end of 2026.
“AI is reshaping industries and in life sciences, it can help people live better, longer lives,” said Sam Altman, CEO of OpenAI. “This collaboration with Novo Nordisk will help them accelerate scientific discovery, run smarter global operations, and redefine the future of patient care.”
The move builds on Novo Nordisk’s current AI initiatives, which include collaboration with varied technology partners and research organisations to build best-in-class capabilities.
Single-dose 7.2mg semaglutide (Wegovy) pen approved to treat adult patients with obesity
As with any medicine, the MHRA will keep the safety and effectiveness of Wegovy under close review.
Published
14 April 2026
The Medicines and Healthcare products Regulatory Agency (MHRA) has today, 14 April 2026, approved the new single-dose 7.2mg semaglutide (Wegovy) pen to treat adult patients with obesity, who have a Body Mass Index (BMI) of 30kg/m² or higher.
Today’s approval will support adult patients with obesity by providing the option of a single-dose injection to receive the maximum weekly dose for weight loss and weight management.
The 7.2mg dose is administered via one injection.
Patients should always use this medicine exactly as their prescriber tells them and to check with their doctor, pharmacist, or nurse if they’re not sure.
This does not apply to overweight patients with a BMI of less than 30kg/m² using Wegovy for weight management or for patients using Wegovy to lower their risk of serious heart problems.
This decision follows the January 2026 authorisation of the 7.2mg maximum weekly dose, which required three 2.4mg doses administered on the same day using the standard 2.4mg pen.
When patients start using Wegovy, the starting dose is 0.25mg per week, which will be gradually increased every four weeks as required and prescribed by the appropriate healthcare professional. The maximum dose is 7.2mg per week.
As with any medicine, the MHRA will keep the safety and effectiveness of Wegovy under close review.
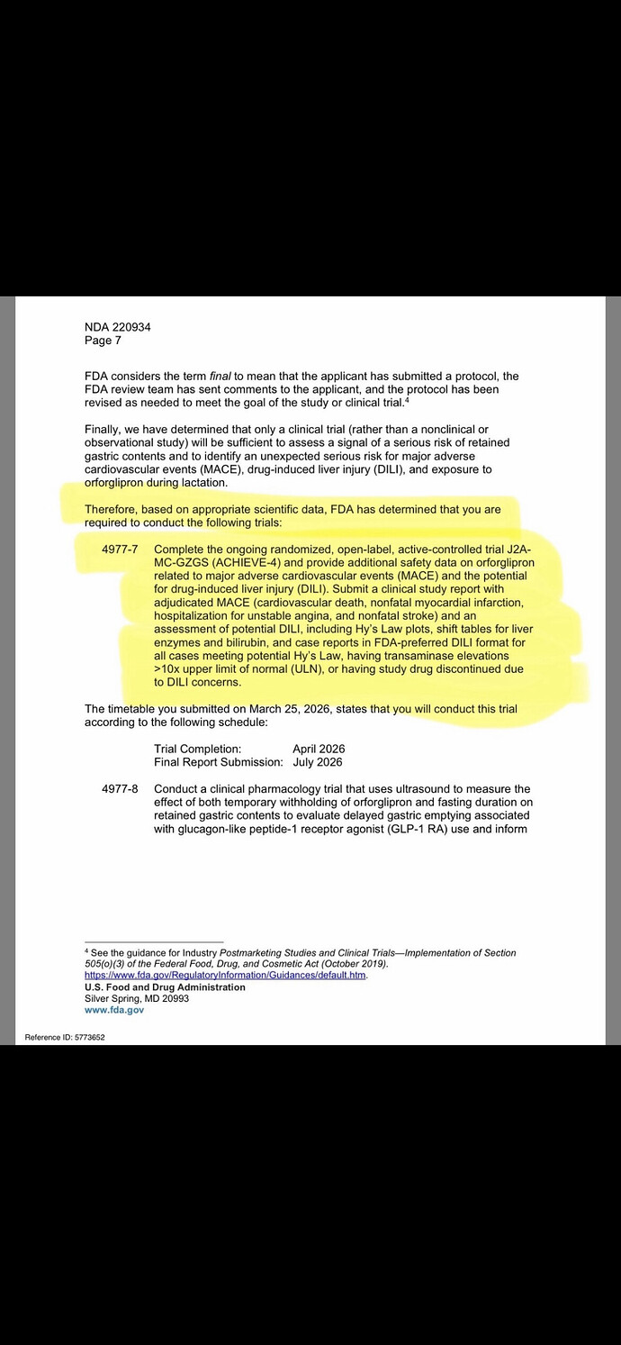
Er jo en helt ny type klasse drugs, så FDA tenker nok det er greit å være på den sikre siden. Kan jo bare nevne at Pfizers to drugs i samme klasse (lotiglipron og danuglipron) har blitt lagt på hylla bl.a pga DILI-problemer, så det er jo naturlig å tenke at dette potensielt kan være et problem for hele -glipronklassen av drugs, noe som i så fall blir problematisk for LLY også, siden Foundayos virkestoff er orforglipron. Når det er sagt så har vel rundt 5000 pers. allerede vært på Foundayo gjennom de kliniske forsøkene, så ev. DILI-problemer bør være relativt sjeldne. Men vi har vel svar i løpet av året, antar ganske mange kommer til å teste dette medikamentet.
Ka det være derfor EliLilly mfl ser etter måter å forbedre disse medisinene på?
Er det du som er Novo-guruen @WernerVonHaussenberg ? Hadde vært interessant å høre dine betraktninger rundt Nanexa hvor Novo eier 14%. De utvikler en type depotmedisin som skal gi lavere bivirkninger
Handler nok mer om å finne måter å ta medisinene på som kan gi et konkurranse-messig fortrinn.
Tenk prevensjon for kvinner, så skjønner du tankegangen.
Noen foretrekker å ta en p-sprøyte hver 3. måned fremfor å måtte huske å ta en pille hver dag.
Mens andre absolutt vil foretrekke å ta en pille hver dag fremfor å måtte oppsøke helsepersonell hver 3. måned for å få en sprøyte.
Per dags dato er (stort sett) alt av fedmemedisiner enten ukentlige subkutane injeksjoner eller daglige piller.
Mange ser på 1 x pr. måned som en slags holy grail. Derav Pfizers kjøp av Metseras langtidsvirkende inkretiner. Og all buzzen rundt Amgens MariTide. Personlig tror jeg ikke ukentlig eller månedlig kommer til å være en stor differensiator i vekttapsfasen, men det kan jo være at folk bort fra ukentlige injeksjoner i vedlikeholdsfasen, altså resten av livet for de fleste av disse medisinene.
Blir lettere å tenke allergivaksine for min del😅
Men ja, ser tegningen. For min del valgte jeg en pille hver dag i 3 år kontra sprøyter ukentlig i et par måndeder, så en shot annen hver måned i 3-5 år.
Men der er jo folk ulike, så skjønner at de ønsker å lage løsninger som dekker alle behov
and 






